Ecuación Diferencial en Primer Orden
En la ciudad de México la cantidad de usuarios en el metro en hora pico aumenta a una razón de 30% cada 10 minutos y la cantidad de usuarios que logra subirse a un vagón de manera constante es de 3000 cada 10 minutos. Determina la ecuación diferencial que modela este problema de transporte a lo largo del tiempo.
En el lago de Xochimilco que se considera contaminado, fluye agua limpia y una corriente saca agua del mismo. ¿El nivel de contaminación en el lago disminuirá? ¿Cuál es la ecuación diferencial que modela la descontaminación del lago a lo largo del tiempo?
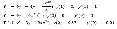
Resuelve las ecuaciones para las condiciones iniciales dadas:
