Evaluar función y simplificar resultados, ¿Quien puede resolver esto?.
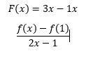
En el ejercicio evaluar (si es posible) la función en los valores dados de la variable independiente. Simplificar los resultados

En el ejercicio evaluar (si es posible) la función en los valores dados de la variable independiente. Simplificar los resultados
