Determine la solución de las siguientes dos ecuaciones e indique si son estables o inestables:
Propiedades de los sistemas.
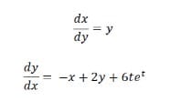
Determine la solución de las siguientes dos ecuaciones e indique si sonestables o inestables:

Propiedades de los sistemas.
Determine la solución de las siguientes dos ecuaciones e indique si sonestables o inestables:
