Nueva tarea de geometría: realizarlo
Dado el par de puntos, encuentra la ecuación de la recta de la forma y = mx + b
1. A(-1,0), B(0,2)
2. B(-3,4), C(4,-2)
3. M(-2,5), N (5,2)
1 respuesta
Respuesta de Llaq Kmg
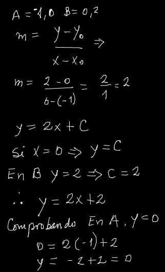
Dado el par de puntos, encuentra la ecuación de la recta de la forma y = mx + b
1. A(-1,0), B(0,2)
2. B(-3,4), C(4,-2)
3. M(-2,5), N (5,2)