Hallar la profundidad de penetración y polarización de la onda.
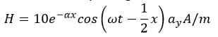
Un dieléctrico de bajas pérdidas tiene una impedancia intrínseca de a una frecuencia determinada. Si a esa frecuencia, la onda plana que se propaga a través del dieléctrico tiene el componente del campo magnético.

Determine E y a, profundidad de penetración y polarización de la onda.