Ecuaciones diferenciales con solución única v.2
Aquí pongo la segunda ecuación.
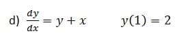
Utiliza el teorema de unicidad para indicar si las siguientes ecuaciones con condiciones iniciales tienen solución única. Especifica en forma clara si cada ecuación tiene o no solución única y anota los pasos que seguiste para llegar a esa conclusión.



