Deducir los parámetros dimensionales - Turbo-maquinas
Me puedes ayudar con este tarea, no lo puedo realizar
Me piden deducir detalladamente (paso a paso) como llego a las fórmulas de los parámetros de operación (análisis dimensional) que se utilizan en una turbina eólica..
Ayúdenme por favor se los agradecería mucho.
![]()
![]()

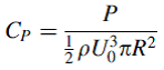
La primera fórmula es la general
La segunda es otra fórmula
Y en la tercera me piden como llegar a la Cp y así de todos lo parámetro dimensionales.