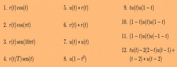
Graficar las siguientes funciones, dada una función r(t)
Sea la función
$$\begin{align}&r(t)=u({1\over2}-t)u(t+{1\over2})\end{align}$$, donde u(t) es el escalón unitario.
Grafique las siguientes funciones.

Sea la función
$$\begin{align}&r(t)=u({1\over2}-t)u(t+{1\over2})\end{align}$$, donde u(t) es el escalón unitario.
Grafique las siguientes funciones.
