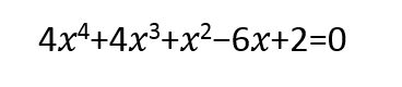
Matemáticas jose vega el 11 mar. 16 Resolver por el método de Descartes y el de Ferrari Como resolver por el método de Descartes y el de Ferrari la siguiente ecuación Seguir Siguiendo Dejar de seguir