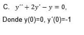
MatemáticasFísica oscar carreño el 23 sep. 15 Solucionar el siguiente ejercicio de ecuaciones diferenciales Buenas tarde ayuda con este ejercicio Seguir Siguiendo Dejar de seguir