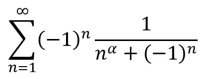
Determine para que valores de (alfa) cumple para que la serie sea absolutamente convergente
Encontrar el valor de alfa, elemento de los números reales, para que la serie converga absolutamente.

Encontrar el valor de alfa, elemento de los números reales, para que la serie converga absolutamente.
