Resolver ecuación diferencial por Laplace
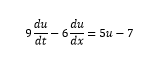
Buenas, necesito ayuda para resolver esta ecuación diferencial por el método de Laplace, lo he intentado mucha veces pero al comprobar siempre me sale mal, debo tener algún error pero no encuentro el error, es bastante largo el ejercicio, por favor si me ayudáis, es para un trabajo, y estoy desesperada ya... la ecuación es la siguiente

RECORDAD QUE ES CON LAPLACE, otro método no puedo usar, agradecería muchísimo vuestra ayuda.