Pregunta en
Matemáticas
y en 2 temas más
Calcular extremos condicionados con lagrange
Igual que el ejercicio anterior con que me expliquen como despejar las variables de las parciales primeras soy feliz.
Pregunta en
Matemáticas
y en 2 temas más
Variables del extremos condicionados Lagrange
No encuentro la forma de despejar (x;y;λ) de las parciales primeras de lagrange... Ya con eso yo armo el Orlado
Pregunta en
Matemáticas
y en 2 temas más
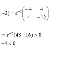
Hallar extremos relativos con hessiano
Pregunta en
Matemáticas
y en 2 temas más
Derivada parcial de por por limite
Calcular f'x en (2;1) por favor solo el limite necesito saber el procedimiento para llegar a esa rspta
Pregunta en
Matemáticas
y en 3 temas más
Calculo diferencial calcular un valor aproximado
Pregunta en
Matemáticas
y en 2 temas más
Calculo de derivadas parciales por definición y tablas
Pregunta en
Matemáticas
y en 2 temas más
Calculo de derivadas parciales con aplicaciones económicas
Dada la función donde QUE es el capital y L el trabajo b)si el gasto de los factores es de 500 u.m y sus precios son pk=10 y pL=20. Hallar las cantidades de factores a combinar para que sean iguales las productividades marginales(a partir de ahora...
Pregunta en
Matemáticas
y en 2 temas más
Como resolver este ejercicio de aplicaciones económicas con derivadas parciales.
Dada la función de producción donde x e y son las cantidades de dos factores productivos X e Y. Actualmente se utilizan para producir 1 unidad del factor X y 2 unidades del factor Y. A) Indicar en función de Δx y Δy las componentes de los puntos...
Sin respuestas
Pregunta en
Matemáticas
y en 2 temas más
Como resolver ejercicio de parcial
Pregunta en
Matemáticas
y en 2 temas más
Calcular polinomio de Taylor de una implícita
Desarrollando por Taylor hasta segundo orden inclusive calcular f(0,09;1,1). Cuando z=f(x;y) viene definida implícitamente por 8xz-3xy+ln(zy)=0 La respuesta tiene que ser f(0,09;1,1) ≈ 1,02925
