german herney aguilar gomez

german herney aguilar gomez

 Colombia @german8583 desde - visto
Preguntar

Preguntas

Pregunta en y en 1 temas más

Como resolver problema ecuaciones diferenciales.

Un objeto de masa 3 Kg se libera desde el reposo a 500 m sobre el piso y se le permite caer bajo la influencia de la gravedad. Suponga que la fuerza gravitacional es constante, con y que la fuerza debida a la resistencia del aire es proporcional a la...
Pregunta en

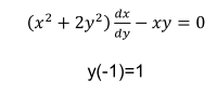
Como resolver ejercicio valor inicial

Ayuda con el siguiente ejercicio de ecuaciones diferenciales con valor inicial.
Pregunta en

Como resolver ecuación diferencial factor integrante

Resolver la siguiente ecuación diferencial hallando el factor integrante.
Pregunta en

Tendo una duda sobre el valor medio de una función

Hallar el valor medio de la siguiente función.
Pregunta en

Como resolver ecuaciones diferenciales exactas

Determinar si la ecuación dada es exacta. Si lo es resuélvala.
Pregunta en

Como resolver Integrales indefinidas usando las propiedades.

Resolver las siguientes integrales. Muchas gracias por la explicación. Y
Pregunta en

Como resolver ecuaciones diferenciales variables separables.

Ecuación diferencial método de variables separables.

Suscríbete RSS