Pregunta en
Matemáticas
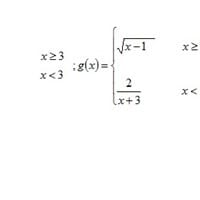
Ejercicio matemático de funciones necesito desarrollar
Pregunta en
Matemáticas
y en 1 temas más
Necesito desarrollar ejercicio de función
Pregunta en
Matemáticas
Necesito resolver ejercicio de funciones
Pregunta en
Matemáticas
Como resuelvo este ejercicio de funciones
Pregunta en
Matemáticas
