Pregunta en
Química
y en 3 temas más
No entiendo ejercicios de control de contaminación
Tomando los mismos datos de la zona industrial, si se tiene una velocidad promedio en el tubo de 10m/s; cuál es el diámetro en pulgadas, ¿Del tubo de bombeo requerido para el caudal de aire estimado?. De la ecuación que se usa con frecuencia para...
Sin respuestas
Pregunta en
Química
y en 2 temas más
Ejercicios control de contaminación atmosférica
Considere una zona industrial en el Departamento de Cundinamarca de 40 Ha. Los datos que fueron obtenidos de un monitorio general, permite evidenciar que hay una capa de aire contaminado que tiene un espesor aproximado de 30 m, sobre la chimenea más...
Pregunta en
Ecología
y en 2 temas más
Control de contaminación atmosférica resolver
Suponga que el área del Valle de Laboyos (Huila) es de 150.000 ha y que la capa de aire contaminado tiene un espesor aproximado de 500 m. Un ingeniero ambiental propone bombear diariamente el aire contaminado lejos de la ciudad. Suponga que la...
Pregunta en
Matemáticas
y en 2 temas más
Las derivadas resolver ejercicios de calculo diferencial
Pregunta en
Matemáticas
y en 2 temas más
Ejercicios de derivadas para resolver
Pregunta en
Matemáticas
y en 2 temas más
Derivadas calcular resolver calculo diferencial
Pregunta en
Matemáticas
y en 2 temas más
Aplicando las reglas de derivación calcular de calculo diferencial
Pregunta en
Matemáticas
y en 2 temas más
Tengo ejercicio de calculo diferencial limites
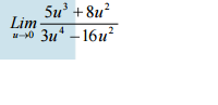
Pregunta en
Matemáticas
y en 2 temas más
Ejercicios de limites y continuidad solucion
Pregunta en
Matemáticas
y en 2 temas más
