carlitos  way

carlitos way

ante la duda, pregunta
 México @carlitosway2 desde - visto
Preguntar

Preguntas

Pregunta en y en 3 temas más

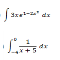
Apoyo con las 2 integrales que tengo

Anexo los 2 ejercicios que se dificultan, agradezco mucho su apoyo saludos
Pregunta en y en 2 temas más

Su valioso apoyo con los siguientes ejercicios

Ingreso imagen para mayor claridad de problemas,, agradezco su valioso apoyo
Sin respuestas
Pregunta en y en 2 temas más

Su valioso apoyo para solucionar siguiente problema con su respectivo proceso matemático, reciban un cordial saludo

Este es el problema que me solicitan lo agrago en imagen por la fórmula y mayor descripción
Pregunta en y en 2 temas más

A sus aportaciones he logrado realizar mis ejercicios, pero ahora me surge este problema, por favo su valiso apoyo para realiz

?(?), ?(?), ?(?). Todas lineales. A) Diseña una función de costos totales que satisfaga lo siguiente: a.1) Los costos variables por unidad deben ser iguales a 14 b) El costo fijo es igual a 3154 c) Escribe la función de ingresos si el precio de...

Suscríbete RSS