Pregunta en
Matemáticas
Solucionar dado el árbol del grafo, escriba el recorrido POSORDEN...
Sin respuestas
Pregunta en
Matemáticas
Desarrollar grafo a partir de la información dada en la matriz de adyacencia
Sin respuestas
Pregunta en
Matemáticas
Colabora resolver las siguientes sumatoria y comprobar con Geogebra
Resolver la siguiente sumatoria y comprobar con Geogebra.
Pregunta en
Matemáticas
Solucionar los siguientes ejercicios la ecuación, identificar centro, vértices y focos
Dada la ecuación, identificar centro, vértices y focos
Sin respuestas
Pregunta en
Matemáticas
Como resolver los siguientes enunciados en Lenguaje natural relacionada con la dinámica
Expresar los siguientes enunciados en Lenguaje natural relacionada con la dinámica de la Universidad de su rol como estudiante y demostrar la validez del argumento dado a través de: Uso de las tablas de verdad.Uso de las reglas de inferencia.Uso del...
Sin respuestas
Pregunta en
Matemáticas
En la sociedad de la informática y la tecnología es imposible dar un paso sin encontrarse con las matemáticas.
Uso de las tablas de verdad.Uso de las reglas de inferencia. Uso del simulador Truth Table
Sin respuestas
Pregunta en
Matemáticas
Si mi equipo pierde me pongo triste. En este momento mi
Soy un gran aficionado al fútbol y mi equipo ha pasado a disputar la final del torneo y algo que he aprendido es que en 90 minutos del juego se viven y se sienten muchas emociones, hay minutos de intensa alegría otros minutos de ansiedad, otros de...
Sin respuestas
Pregunta en
Matemáticas
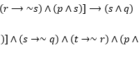
Como solucionar Uso de las tablas de verdad
Uso de las tablas de verdad. Uso de las reglas de inferencia
Sin respuestas
Pregunta en
Matemáticas
A una altura de 16 m se lanza verticalmente hacia abajo una
A una altura de 16m se lanza verticalmente hacia abajo una pelota de béisbol con una velocidad inicial de 2 m/s. Si la pelota golpea una superficie que se encuentra a 4m de alto. Determinar la velocidad de impacto de la pelota.
