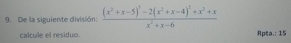
Matemáticas Fernando Aguirre el 23 oct. 18 Problema, hallar el residuo, usar método horner y productos notables Muchas Gracias!... Seguir Siguiendo Dejar de seguir