Tengo problemas con estos ejercicios de mate
Me ayudan con estos ejercicios
3.- Cierta empresa fabrica termómetros para interiores y exteriores en su subsidiaria mexicana, la gerencia estima que la utilidad (en dólares) por la fabricación y venta de por termómetros por semana esta dada por la siguiente función: U= - 0.001x2 + 8x -5000
Determine cual será el número de termómetros que deberá fabricar y vender para maximizar su utilidad (forma canónica de la parábola)
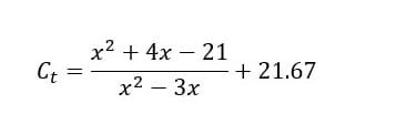
4.- Una compañía de productos de línea blanca tiene la siguiente función de costos de producción (en miles de pesos), determine los costos de producción si tiende a fabricar 3 unidades
