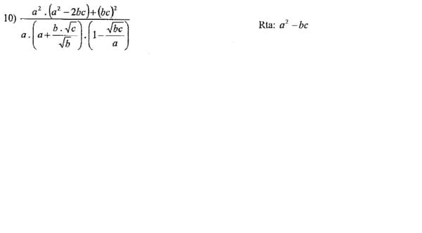
Problema en encontrar la solución correcta a un ejercicio de álgebra.
El mismo dice : Reducir a su mínima expresión el siguiente ejercicio:
Lo que quiero saber ei lo que desarrolle es correcto, porque las Soluciones entre el Apunte y lo que hice son distintas, agrego otro archivo con el desarrollo que realice del mismo.
Espero respuesta.
Gracias.

