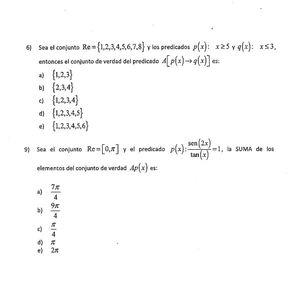
Alguien me podría decir como se resuelven estos ejercicios?
No se como resolver estos ejercicios y si me ayudan me podrían decir que significan los símbolos gracias de antemano.

No se como resolver estos ejercicios y si me ayudan me podrían decir que significan los símbolos gracias de antemano.
