Siguientes enunciados en Lenguaje natural
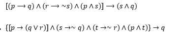
Expresar los siguientes enunciados en Lenguaje natural relacionada con la dinámica de la Universidad de su rol como estudiante y demostrar la validez del argumento dado a través de:
- Uso de las tablas de verdad.
- Uso de las reglas de inferencia.
- Uso del simulador Truth Table.
