Racionalizar numerador de la siguiente expresión matemática.
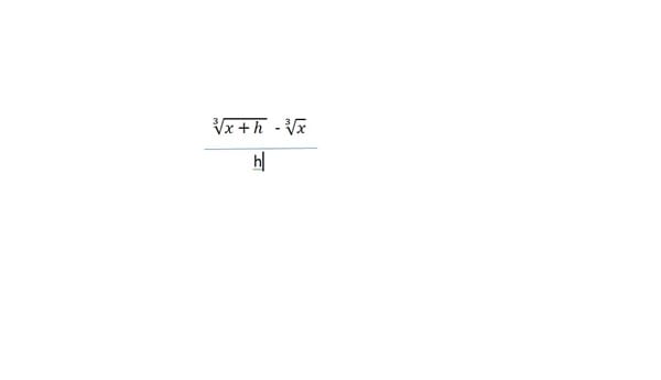
Amigos me pueden explicar como se racionaliza los numeradores de la siguiente fracción, envío el ejemplo en una imagen.
Gracias y espero respuesta.

Amigos me pueden explicar como se racionaliza los numeradores de la siguiente fracción, envío el ejemplo en una imagen.
Gracias y espero respuesta.
