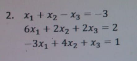
Matemáticas Elen Graziani el 15 feb. 17 El método de eliminación de Gauss – Jordan. Resuelva los siguientes sistemas de ecuaciones utilizando El método de eliminación de Gauss – Jordan. Seguir Siguiendo Dejar de seguir