Análisis Limites y continuidad Solución de Problemas
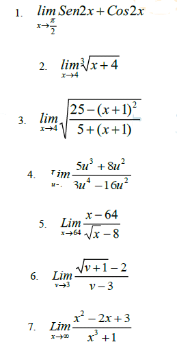
Me podrían ayudar con la solución de los siguientes problemas de limtes y continuidad.
Quedo muy agradecida por su pronta respuesta

Me podrían ayudar con la solución de los siguientes problemas de limtes y continuidad.
Quedo muy agradecida por su pronta respuesta
